Yiu Chung Cheung & Frank de Jong & Barbara Rindi, 2005. "Trading European sovereign bonds - the microstructure of the MTS trading platforms," Working Paper Series 432, European Central Bank.
Résumé de l'article
Cet article s'intéresse à la microstructure de la plateforme MTS ; le système de trading interdealer le plus important sur le marché obligataire souverain européen. La plateforme MTS est un electronic limit order market totalement automatisé, avec la possibilité de trader sur une plateforme domestique propre à chaque pays (MTS France, MTS Germany, MTS Italy) mais aussi sur une plateforme générale regroupant les obligations "on-the-run" de tous les pays de la zone. Le marché MTS fonctionne comme un limit order book ; les participants pouvant voir les 5 meilleures offres bid et ask pour chaque obligation. Les trades sont anonymes de 1997 afin d'éviter les comportements de passages clandestins via l'impact de la réputation d'un market maker sur les prix (Massa & Simonov (2001)) ; l'identité de la contrepartie n'étant révélé qu'après que le trade ait été exécuté à des fins de compensation ou de règlement. Les market makers ont la possibilité de poster des "block quantity" représentant la quantité totale proposée au marché à un certain prix, ou bien des "drip quantity" permettant de cacher une partie au marché (ce qui permet de ne pas révéler la quantité réelle dans le limit order book).
Une partie de ce papier s'intéresse aux différences (principalement trading costs & price dynamics) entre les plateformes domestiques et la plateforme EuroMTS, afin de voir l'utilité de la présence simultanée de deux plateformes. Les auteurs concluent qu'il existe relativement peu de différence en terme de liquidité et montrent qu'il existe une légère différence au niveau du spread sur la plateforme locale et propose comme hypothèse à cette coexistence de deux plateformes le fait que les agences trésor de chaque pays souhaitent garder une plateforme domestique plutôt qu'une seule plateforme européenne dominante.
Le caractère purement interdealer de la plateforme MTS, avec un nombre très limité de dealers (une centaine à l'époque sur EuroMTS, dont 80% ayant des market making obligations) permet de s'intéresser aux prix et à la dynamique des order flows sur un marché compétitif de market making (Ho & Stoll (1983)). Les données issues de MTS, sur la période janvier 2001 à mai 2002, permettent de connaître la direction du trade (achat ou vente) avec un timing très précis, permettant donc de s'intéresser à l'effet des order flows sur les rendements et à l'autocorrélation des order flows.
Lorsque le marché des market makers est compétitif, l'inventaire joue un rôle crucial (Ho & Stoll (1983)) ; les market makers ayant l'inventaire le plus large étant les plus disposés à vendre (et inversement). Lyons (1997) montre que le passage d'inventaire entre market makers ("hot potato trading") crée un bruit dans le prix des obligations et rend plus difficile le price discovery.
Les auteurs s'intéressent à l'impact d'un trade sur le prix selon le type de période (forte activité ou non). Pour inverser son inventaire, un market maker peut soit attendre que l'un de ses limit-order trouve une contrepartie (en recevant donc une compensation) soit payer une compensation (via le bid-ask spread) à un autre market maker en plaçant un market order sur le marché interdealer. En voyant cela, on peut donc s'attendre à ce que le coût pour un market maker soit supérieur en période de faible activité, car la probabilité de voir son limit-order trouver une contrepartie est plus faible qu'en période de forte activité. De plus, si l'on s'intéresse aux order flows, et étant donné que sur le marché souverain, l'information est davantage "long-lived" que sur le marché action (un trader n'ayant pas obligation d'exploiter une information ultra-rapidement), un market maker peut choisir de diminuer son spread afin d'attirer des flux pour obtenir ainsi de l'information privé de la part de la contrepartie. Or, les traders informés ont tendance à utiliser davantage de limit order que de market order lorsque l'information est "long lived", impliquant donc un plus faible bid-ask spread (davantage de liquidité) et un impact plus faible du trading sur les prix (Kaniel & Liu (2003)).
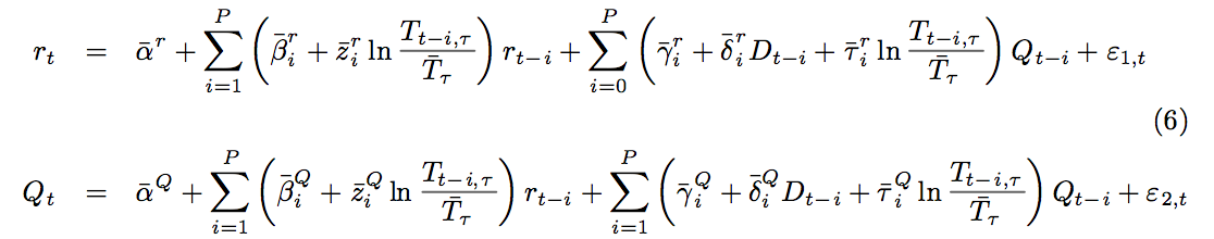
Pour tester empiriquement cela, les auteurs ont appliqué un modèle VAR (Dufour-Engle (2002)), afin de voir les interactions entre l'order flow (Qt) et les rendements (r) en réponse à trade inattendu (impulse responses of a shock). "D" est une variable dummy selon la plateforme (0 si domestic MTS et 1 si EuroMTS), "T" le temps depuis le dernier trade. Le nombre de retard est fixé à 3 pour le rendement et l'order flow. "Q" est négatif lorsque le trade est initié par un vendeur, et positif dans le cas contraire.
Les résultats montrent l'impact positif et significatif des order flows sur les rendements ; un trade de 5 millions d'euros ayant un impact de 0,4 bps sur EuroMTS et 0,53 bps sur le domestic MTS (via effet de la variable indicatrice). La réaction est plus forte lorsque l'intensité de trading est faible. Les order flow sont autocorrélés, le paramètre "γ" de l'équation étant de signe positif et significatif, ce qui veut dire qu'un ordre d'achat a une probabilité plus forte d'être suivi par un autre ordre d'achat que par un ordre de vente (avec une probabilité qui diminue lorsque l'écart entre deux trades augmente). Ceci implique donc une autocorrélation plus faible lors des périodes de faible intensité de trading.
Enfin, les auteurs ont comparé les jours avec annonces macro aux jours sans annonce. L'impact de l'order flow est plus fort les jours avec annonces macro, confirmant les travaux de Cohen & Shin (2003) et Green (2004).
Points intéressants
(1) La microstructure et le fonctionnement du marché MTS sont décrits en détails dans la partie 2 de l'étude. Il est essentiel de bien comprendre comment fonctionne le marché ainsi que les différences entre ce marché MTS "interdealer electronic limit order" et le marché GovPX américain "quote screen-based".
(2) Le marché MTS se rapproche donc du modèle de Ho & Stoll avec plusieurs market makers en compétition. Dans cette situation, le rôle de l'inventaire est important et un "hot potato effect" via trader interdealer peut entraîner du "noise" sur le marché.
(3) Le fait que certains ordres puissent être caché au marché via le "drip quantity" peut faire douter de la pertinence de l'analyse du limit order book. Les market orders peuvent aussi être divisé en bloc afin de ne pas influencer le prix ; l'information étant "long lived", les traders ne sont pas forcément pressés de trader et peuvent répartir leur trade dans le temps pour ne pas faire bouger le marché plutôt que de placer un seul ordre de taille importante.
(4) La dynamique suite à un trade inattendu "Q" (positif ou négatif) est calculé via une impulse response function (modèle VAR de Hasbrouck (1991)). Selon les auteurs, il faut 9 trades pour que le système retourne à un équilibre après un choc.
Cet article est mis à disposition selon les termes de la licence Creative Commons Attribution - Pas de Modification 4.0 International. N'hésitez donc surtout pas à le voler pour le republier en ligne ou sur papier.
